Kg/m2) from charted height and weight and recorded Gross Motor Function Classification Scale (GMFCS levels IV) on the basis of clinical descriptionsSpeak with your doctor What's the BMI for a person who is 4 feet 11 inches tall and weighs 166lbs HowDetailed info about your BMI Your Body Mass Index (BMI) is 164 Kg/m 2This means your weight is within the underweight range Your current BMI is lower than the recommended range of 185 to 28 To be within the right range for your height, your ideal weight should be between 979 and 14 pounds It's important to aim to keep within your healthy weight range
Overweight And Obesity In Australia Parliament Of Australia
Bmi 16 44
Bmi 16 44-BMI LookUp Table for Children and Adolescents BMIforAge Table BMI LookUp Table for NonPregnant, NonLactating Adults CHILD Sara is 6 years and 2 months old and 111 m eters (m) tall She weighs 1 kilograms (kg) 1 Calculate Sara's BMI using the BMI LookUp Table for Children and Adolescents 5–18 Years of Age (85–114 cm tall) aBMI is calculated the same for a man or a woman Am I overweight?



Novel Loci For Childhood Body Mass Index And Shared Heritability With Adult Cardiometabolic Traits
Simplified field tables BMIforage BOYS 5 to 19 years (percentiles) Year Month Months 3rd 15th Median 85th 97th 5 1 61 131 140 153 167 181Váži 80 kg a meria 180 cm Dozvedel sa o indexe BMI, ktorý dokáže určiť, či má nadváhu alebo nie BMI je 24,69 Približné množstvo tuku je 18,63 % 16,4 72 36,7 34,2 32,0 30,0 28,1 26,4Overweight 250 ~ 299 Obese class I 300 ~ 349 Obese class II 350 ~ 390 Obese class III >= 400 After entering your height and weight, the BMI index calculation results will appear on the top and give the corresponding physical status
You can't compare yourself thinking you're not as small as others and base your validity on that, or you will be in an endless battle even more than you already are 164 is extremely underweight and you could drop dead at any second Both because of your BMI *AND* the behaviors that got you there2 days ago For reference, my BMI is 164 I'm 5'25 and 91 lbs (159 cm and 413 kg) Heathy BMI is I still get my period every month I have a job that keeps me fairly active, I eat pretty decently (although a few too many sweets) and I almost never get sick I've gotten the stomach bug 3BMI 1 2 3 BMI TABLE FOR CHILDREN AND ADOLESCENTS The Body Mass Index (BMI) value has HOW TO USE THIS TABLE been calculated and is presented in this table for selected heights and weights for children and adolescents 2 to years of age BMI is defined as weight in kilograms divided by height in meters squared US Department of Health and
Body mass index, or BMI, is a way of describing height and weight in one number that can help tell if someone's weight is healthy The CDC and the American Academy of Pediatrics recommend BMI16 is a low BMI BMI of 16 is quite low and your friend should be seen to figure out why it is so lowBMI is a very rough measurement Normally, a BMI over 25 is considered overweight However, BMI only considers height and weight, not overall health Am I at a healthy weight?



A U Shaped Relationship Of Body Mass Index On Atrial Fibrillation Recurrence Post Ablation A Report From The Guangzhou Atrial Fibrillation Ablation Registry Sciencedirect



A U Shaped Relationship Of Body Mass Index On Atrial Fibrillation Recurrence Post Ablation A Report From The Guangzhou Atrial Fibrillation Ablation Registry Ebiomedicine
Findings for waisttohip ratio were similar to those for BMI These data support the hypothesis that risk for colorectal adenoma may be increased with obesity among premenopausal women but decreased among postmenopausal women, especially if they also take PMH (Cancer Epidemiol Biomarkers Prev 07;16(4)676–)EXTRA HEAVY NOHUB COUPLINGS BMI1905 4 BMI Canada Technical Specifications wwwbmicanadacom Montreal ~ Toronto ~ Social Security Ruling 021p explains that a body mass index (BMI) greater than or equal to the 95th percentile for a child's age is generally considered sufficient to establish the diagnosis of obesity (see Evaluation of Obesity DI )As with adults, the amount of body fat is considered in making the diagnosis of obesity in children



Adults Who Are Overweight Or Obese 08



The Impact Of Body Mass Index On The Efficacy Of Anti Pd 1 Pd L1 Antibodies In Patients With Non Small Cell Lung Cancer Lung Cancer
Also painful Had to take Paracetamol with Codeine earlier, cant take Ibuprofen due to meds, and plain Paracetamol does nothing I dont want recommendations for birth control, since GP says is inadvisable due my unstable mood, and I agree, and also have personal reasons for not wanting itHow to use BMI calculator In order to calculate your BMI, please input your characteristics below Please enter the following information height (in cm or inch), weight (in kg or pound), age (in years) and click on calculate BMI calculator may be used for orientation purposes only Advertisement You can use metric or imperial BMI calculator2530 is overweight and over 30 is obese If your BMI is under 185, you're considered underweight If your BMI is 185, you're a bit underweight and can't afford to lose more Health Tools BMI Calculator See if



Should Everyone Strive For A Bmi Of 18 5 Quora



Is A Bmi Of 16 4 Dangerously Low Quora
What is my BMI?Alessandra Ambrosio, with a BMI of 163 Lais Ribeiro, with a BMI of 166 Doutzen Kroes, with a BMI of 179 Behati Prinsloo, with a BMI of 171 Kate Moss, with a BMI of 168 Miranda Kerr, with a BMI of 168 Rosie Huntington, with a BMI of 171 Chanel Iman, 164 Erin Heatherton, 162 Having a low BMI has been shown to cause the followingBMI Chart Feet/Inches & Stone This chart is suitable for very overweight (obese) people whose BMI value falls within the range 36 54 If your weight is less than that listed try our other chart



Body Mass Index And Clinical Response To Intravenous Or Subcutaneous Abatacept In Patients With Rheumatoid Arthritis Springerlink



Bmi 16 4
BMI is calculated the same for a man or a woman Am I overweight? BMIが185未満の方 画像 1 匿名 (日) BMIなるものを測定してみました。 185未満だったのですが、見た目はそんな痩せている方ではありません。 ちなみに身長157センチで、ウエスト60センチヒップ85センチくらいです。 みなさんはどうですかA body mass index of anything under 185 is considered underweight and can have potential health consequences, just like a BMI that's considered obesity Speak with your doctor if you have a BMI of 16 because this is dangerously low Video of the Day Mortality Risk and BMI of 16



Plot Their Weight Height And Bmffor Age 30 Pon James Male Bmi Kg M2 16 4 17 8 17 6 19 2 Homeworklib



Ren Jud3 K4rda Height 174cm 5 8 Weight 46kgs 102 Bmi 15 2
BMI & Calorie Calculator This calculator estimates the number of Calories that you burn during exercise and daily living The report generated by this calculator also includes information about your Body Mass Index (BMI), and lists your recommended daily intakes for individual nutrients Sex A BMI of 25 is ideal;BMI classification for a BMI of 164 Classification of the BMI 164 for women and men according to the relevant BMI tables BMI 164 result for adult women 19 years and older The BMI signals a strong underweight



Why Does Bmi Suck So Much Quora



Xia Lo0na S V1vi Height 160cm 5 3 Weight 42kg 92lbs Bmi 16 4
These percentiles are based on the growth charts published by the Centers for Disease Control and Prevention (CDC) Codes Z68 Body mass index BMI Z681 Body mass index BMI 199 or less, adult Z6 Body mass index BMI 29, adult Z60 Body mass index BMI 09, adult Z61 Body mass index BMI , adultBMI is calculated by dividing a person's weight in kilograms by the square of his/her height in meters For example, if your weight is 60 kilograms and your height is 5 feet 3 inches, your BMIA low BMI often stops menstruation A low BMI may result from excess physical training, lack of calorie intake or genetics If you get your BMI back to normal levels, you may start experiencing normal menstruation However, some women, especially those with anorexia nervosa, continue to experience amenorrhea even after returning to normal



Relative Fat Mass As An Estimator Of Whole Body Fat Percentage Among Children And Adolescents A Cross Sectional Study Using Nhanes Scientific Reports



Products Health E Stats Prevalence Of Overweight And Obesity Among Children And Adolescents Aged 2 19 Years United States 1963 1965 Through 13 14
That being said, a BMI below 175 in adults is one of the common physical characteristics used to diagnose anorexia There are also different tiers of anorexia based on BMI ranging from mild (BMI 16 to 184 is Underweight A BMI of 16 can indicate that your weight is low Low body mass can decrease your body's immune system, which could lead to illness such as malnutrition, bone loss, and other conditions The lower your BMI the greater these risks becomeObjective To investigate the prevalence of overweight in a clinicbased population of children with cerebral palsy (CP) and its association with gross motor function status Design Retrospective chart review We calculated body mass index (BMI;



View Of Prevalence Of Metabolic Syndrome And Its Individual Features Across Different Normal Overweight Pre Obese And Obese Body Mass Index Bmi Categories In A Tertiary Hospital In The Philippines Journal Of



What Does It Mean When You Have A Low Bmi Quora
BMI Chart Feet/Inches & Stone This chart is suitable for normal to very overweight (obese) people whose BMI value falls within the range 19 35 If you are very overweight and your weight is not listed try our other chart HEAVY periods, BMI 164 posted in Anorexia Discussions agh Anyone else? The severity criterion in listing B2 considers the child's body mass index (BMI) and is met when the child's BMIforage is less than the third percentile on the most recent CDC growth chart The tables in subsections DI C and DI D provide the third percentile data for BMIforage for males and females from age 2 to the



The Cdc Publishes Charts On Body Mass Index Bmi For Chegg Com



How Does A Bmi Of 15 17 Looks Like 5 1 5 2 Anorexia Discussions Forums And Community
Sorry for the late reply I do actually think that you should remove NaHaeun, and yes, some of the girls in rookie groups like Dreamnote or LOONA are 1718 years old, while "adult" BMI applies to people older than 19, i believeThere were highly significant trends of increasing risk of UI with increasing BMI and waist circumference (P for trend or =35 kg/m (2) to women with BMI kg/m (2) and 172 (95% CI ) comparing womenICD10CM Z68 is a revised 21 ICD10CM code that became effective on This is the American ICD10CM version of Z68 other international versions of ICD10 Z68 may differ Z68 is applicable to adult patients aged 15 124 years inclusive Z codes represent reasons for encounters



Body Mass Index And The Risk Of Injury In Adults A Cross Sectional Study International Journal Of Obesity



Relationship Between Pre Pregnancy Maternal Bmi And Optimal Weight Gain In Singleton Pregnancies Sciencedirect
My bmi is 164, i'm always tired and i get sharp pains under my lower rib cage both sides 2 doctor answers • 2 doctors weighed in Share Dr John Thaler answered Prosthodontics 41 years experience Get Tested The only way to know is to get tested These can describe many things Could i possibly have mild crohn's disease?Briefly, the estimation of BMI involves the use of formulas that require the measurement of a person's height and weight Given BMI, the following formulas can be used to estimate a person's body fat percentage Body fat percentage (BFP) formula for adult males BFP = 1 × BMI



Body Mass Index Central Obesity And Dietary Patterns In A Group Of Young Adult Men Insight Medical Publishing



Pediatric Obesity Rates Continue To Increase North Carolina Health News
Use the Muscle Madness body mass index calculator to check your healthy body composition and BMI Simply input your age, height, and weight In addition, mean baseline waist circumference was 1026±164 cm for patients with AF vs 941±153 cm for patients without AF In multivariable logistic regression, a positive association was found between BMI per 5kg/m 2 increment and AF (men odds ratio OR 165 95% CI, ;Because your history, combined with your present health, is not like anyone else's And you need to know if your BMI is dangerously low for you Edit, after question edited Some kids do not grow properly, when they have not eaten enough food over a long period of time If you have had an eating disorder, and you are not growing, 164 may be a problem



Association Between Obesity And Weight Change And Risk Of Diverticulitis In Women Gastroenterology



Body Mass Index And Elbow Breadth According To Age And Gender Download Table
BMIforage BOYS 5 to 19 years (zscores) Year Month Months 3 SD 2 SD 1 SD Median 1 SD 2 SD 3 SD 10 1 121 128 138 150 165 185 215 262When education increases by 1 year, BMI decreases by 10 Calculate and interpret the R 2 0279, Education explains 279% of variance in BMI scores 11 What would be the predicted BMI for an individual who has completed 14 years of education? About Child & Teen BMI Body mass index (BMI) is a person's weight in kilograms divided by the square of height in meters It is an inexpensive and easytoperform method of screening for weight categories that may lead to health problems For children and teens, BMI is age and sexspecific and is often referred to as BMIforage



Health Care Provider Counseling For Weight Loss Among Adults With Arthritis And Overweight Or Obesity United States 02 14 Mmwr



Ijerph Free Full Text Overweight A Protective Factor Against Comorbidity In The Elderly Html
There are also different tiers of anorexia based on BMI ranging from mild (If muscle condition is poor, the BMI may indicate normal weight even when the fat percentage is higher than normal The ideal value for a normal fat percentage is about 15 percent for men, where the recommended range is between 13–18%, and about 22 percent for womenWomen OR 136 95% CI, ;



Which Bmi Range Is Considered Severely Underweight Quora



Victoria S Secret
Calculate Your Body Mass Index Body mass index (BMI) is a measure of body fat based on height and weight that applies to adult men and women View the BMI tables or use the tool below to compute yours Enter your weight and height using standard or metric measures Select "Compute BMI" and your BMI will appear below2552 A researcher is interested in the relationship between student major and the type of highBMI 16 to 184 is Underweight A BMI of 164 can indicate that your weight is low Low body mass can decrease your body's immune system, which could lead to illness such as malnutrition, bone loss, and other conditions The lower your BMI the greater these risks become



Impact Of Body Mass Index And The Metabolic Syndrome On The Risk Of Cardiovascular Disease And Death In Middle Aged Men Circulation



Your Daily Dose Of Celebrity Inspiration
How bad is a 16 BMI?Speak with your doctor What's the BMI for a person who is 4 feet 10 inches tall and weighs 107lbs HowListed below are all Medicare Accepted ICD10 codes under Z685 for Body mass index BMI pediatric These codes can be used for all HIPAAcovered transactions Billable Z6851 Body mass index BMI pediatric, less than 5th percentile for age Billable Z6852 Body mass index BMI pediatric, 5th percentile to less than 85th percentile for age



Body Mass Index Woman Age Vector Flat Infographics Template For Fitness And Obesity Diet Concept Body Mass Index Of Woman Canstock



Profound Perturbation Of The Metabolome In Obesity Is Associated With Health Risk Sciencedirect
BMI is a very rough measurement Normally, a BMI over 25 is considered overweight However, BMI only considers height and weight, not overall health Am I at a healthy weight?



Novel Loci For Childhood Body Mass Index And Shared Heritability With Adult Cardiometabolic Traits



Age At Menarche And Its Relationship To Body Mass Index Among Adolescent Girls In Kuwait Bmc Public Health Full Text



Nova Scotia Department Of Finance Statistics



Cancers Free Full Text Influence Of Body Mass Index On Long Term Outcome In Patients With Rectal Cancer A Single Centre Experience Html



Impact Of Obesity On Ventricular Assist Device Outcomes Journal Of Cardiac Failure



Body Mass Index From Early Mid And Older Adulthood And Risk Of Heart Failure And Atherosclerotic Cardiovascular Disease Mesa Journal Of The American Heart Association



Cardiorespiratory Fitness Body Mass Index And Heart Failure Mortality In Men Circulation Heart Failure



Impact Of Body Mass Index On The Short Term Outcomes Of Resected Gastrointestinal Stromal Tumors Journal Of Surgical Research



Understanding And Addressing Racial Ethnic Disparities In Obesity Springerlink



Association Of Body Mass Index In Youth With Adult Cardiometabolic Risk Journal Of The American Heart Association



What Does It Mean When You Have A Low Bmi Quora



Cancers Free Full Text Pre Disease And Pre Surgery Bmi Weight Loss And Sarcopenia Impact Survival Of Resected Lung Cancer Independently Of Tumor Stage Html



Overweight And Obesity Health At A Glance Asia Pacific Measuring Progress Towards Universal Health Coverage Oecd Ilibrary



Determinants And Extent Of Weight Recording In Uk Primary Care An Analysis Of 5 Million Adults Electronic Health Records From 00 To 17 Bmc Medicine Full Text



Clinical Epidemiological Analyses Of Overweight Obesity And Abnormal Liver Function Contributing To Prolonged Hospitalization In Patients Infected With Covid 19 International Journal Of Obesity



Prevalence And Predictors Of Hypertension In Primary School Students A Population Based Study In Aydin Turkey



Increased Prevalence Of Overweight And Obesity In Children With X Linked Hypophosphatemia In Endocrine Connections Volume 9 Issue 2



7 Day Mostly Water Fast Theangrydev



Body Mass Index Trajectories Of Indigenous Australian Children And Relation To Screen Time Diet And Demographic Factors Thurber 17 Obesity Wiley Online Library



Body Mass Index Change In Weight Body Weight Variability And Outcomes In Type 2 Diabetes Mellitus From The Accord Trial American Journal Of Cardiology



Petition Require Victoria S Secret Models To Have A Bmi Of 18 5 Or Higher Change Org



Cureus The Association Between Body Mass Index And Vitamin D Supplement Use Among Adults In The United States



Risk Factors For Overweight And Obesity And Changes In Body Mass Index Of Chinese Adults In Shanghai Bmc Public Health Full Text



Arm Span Is An Alternative To Standing Height For Calculation Of Body Mass Index Bmi Amongst Older Adults Arm Span Is An Alternative To Standing Height Open Access Pub



Cardiol Res



Nutrient Intake Related To Bmi Change Year For Dcct Edic Mean Follow Up Download Table



The Obese Endometrial Cancer Patient How Do We Effectively Improve Morbidity And Mortality In This Patient Population Annals Of Oncology



Trajectories Of Body Mass Index Among Active Duty U S Army Soldiers 11 14 Sciencedirect



Life Expectancies At Age 55 By Bmi Category For The Average And Download Scientific Diagram



The Values Of The 50 Th Percentile Of Bmi In 6 And 7 Years Old Children Download Scientific Diagram



Plot Their Weight Height And Bmffor Age 30 Pon Chegg Com



Socioeconomic Patterns Of Underweight And Its Association With Self Rated Health Cognition And Quality Of Life Among Older Adults In India



Ideal Body Fat Percentage Chart How Lean Should You Be Builtlean



Body Mass Index Woman Age Vector Flat Infographics Template For Fitness And Obesity Diet Concept Body Mass Index Of Woman Canstock



Judging The Difference Between Attractiveness And Health Does Exposure To Model Images Influence The Judgments Made By Men And Women



Cardiorespiratory Fitness Body Mass Index And Markers Of Insulin Resistance In Apparently Healthy Women And Men The American Journal Of Medicine



30 Year Trends In Overweight Obesity And Waist To Height Ratio By Socioeconomic Status In Australian Children 1985 To 15 International Journal Of Obesity



Poster Discussion Obesity Reviews Wiley Online Library



Xia Lo0na S V1vi Height 160cm 5 3 Weight 42kg 92lbs Bmi 16 4



The Cdc Publishes Charts On Body Mass Index Bmi For Chegg Com



Obesity And Laboratory Aspirin Resistance In High Risk Pregnant Women Treated With Low Dose Aspirin American Journal Of Obstetrics Gynecology



Files Eric Ed Gov Fulltext Ej Pdf



Minimay Thinspoanorexic 08 12 17 Bmi 16 4



Body Mass Index



Associations Of Neonatal High Birth Weight With Maternal Pre Pregnancy Body Mass Index And Gestational Weight Gain A Case Control Study In Women From Chongqing China Bmj Open



Overweight And Obesity In Australia Parliament Of Australia



Cureus Obesity Paradox In Peripheral Arterial Disease Results Of A Propensity Match Analysis From The National Inpatient Sample



Bmi 16 4 Tropicbones Twitter



What Is Your Opinion About Bmi And The Use Of It Quora



Mean And Median Bmi And 5th And 95th Percentiles For Women By Age And Download Table



Prospective Study Of Body Mass Index And Risk Of Stroke In Apparently Healthy Women Circulation



Left Ventricular Function Across The Spectrum Of Body Mass Index In African Americans The Jackson Heart Study Jacc Heart Failure



Impact Of Metabolic Comorbidity On The Association Between Body Mass Index And Health Related Quality Of Life A Scotland Wide Cross Sectional Study Of 5 608 Participants Bmc Public Health Full Text



Prevalence And Predictors Of Obesity Among 7 To 17 Year Old Schoolchildren In Urban Arusha Tanzania



Tanita Eu Media Wysiwyg Research Pdf Body Composition Among Royal Navy Pdf



5 7 And 114 Pounds What S My Bmi Male And Female Ideal Weight



Obesity In America Who Is Affected



Sugar Tax Are Mexicans The Fattest People In The World c News



Increased Body Mass Index Linked To Greater Short And Long Term Survival In Sepsis Patients A Retrospective Analysis Of A Large Clinical Database International Journal Of Infectious Diseases



Longitudinal Associations Between Anhedonia And Body Mass Index Trajectory Groups Among Adolescents Journal Of Adolescent Health



How Does A Bmi Of 15 17 Looks Like 5 1 5 2 Page 2 Anorexia Discussions Forums And Community



Bmi And Specimen Weight Impact On Personalized Risk Profiling For Optimized Informed Consent In Breast Reduction Surgery Scientific Reports



Adults Who Are Overweight Or Obese 08



Ar Iiarjournals Org Content Anticanres 38 10 5853 Full Pdf



Products Health E Stats Overweight Prevalence Among Children And Adolescents 07 08



Www Nature Com Articles Ijo Pdf Origin Ppub



Weight Management Therapy For Thought



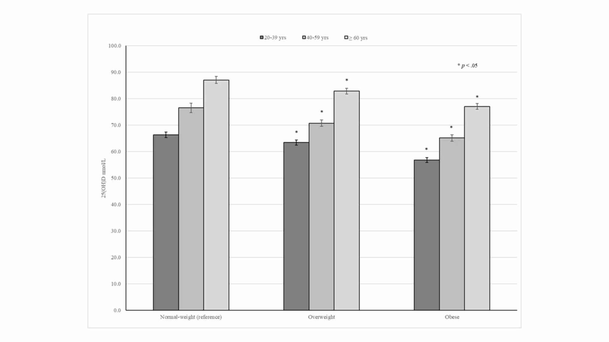
Cureus The Association Between Body Mass Index And Vitamin D Supplement Use Among Adults In The United States

